Mendeleev Communications
RUS  ENG    ЖУРНАЛЫ   ПЕРСОНАЛИИ   ОРГАНИЗАЦИИ   КОНФЕРЕНЦИИ   СЕМИНАРЫ   ВИДЕОТЕКА   ПАКЕТ AMSBIB  
Общая информация
Последний выпуск
Скоро в журнале
Архив
Подписка
Правила для авторов

Поиск публикаций
Поиск ссылок

RSS
Последний выпуск
Текущие выпуски
Архивные выпуски
Что такое RSS



Mendeleev Commun.:
Год:
Том:
Выпуск:
Страница:
Найти






Персональный вход:
Логин:
Пароль:
Запомнить пароль
Войти
Забыли пароль?
Регистрация


Mendeleev Communications, 2017, том 27, выпуск 3, страницы 285–286
DOI: https://doi.org/10.1016/j.mencom.2017.05.023
(Mi mendc1970)
 

Эта публикация цитируется в 14 научных статьях (всего в 14 статьях)

Communications

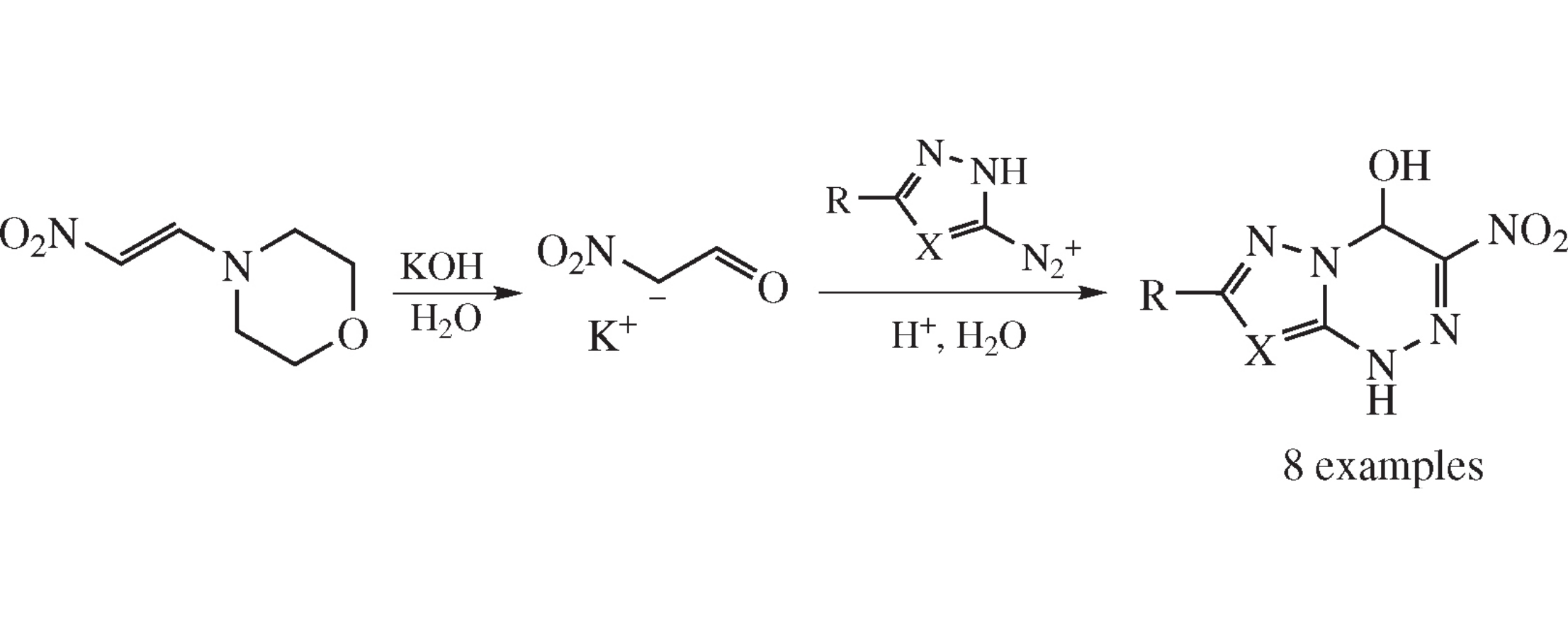
1-Morpholino-2-nitroethylene as a precursor of nitroacetaldehyde in the synthesis of azolo[5,1-c][1,2,4]triazines

E. K. Voinkova, E. N. Ulomskyab, V. L. Rusinovab, R. A. Drokina, V. V. Fedotova, E. B. Gorbunovb

a Department of Chemistry, Ural Federal University, Ekaterinburg, Russian Federation
b I.Ya. Postovsky Institute of Organic Synthesis, Ural Branch of the Russian Academy of Sciences, Ekaterinburg, Russian Federation
Аннотация: 3-Nitro-4-hydroxy-1,4-dihydroazolo[5,1-c][1,2,4]triazines were obtained using nitroacetaldehyde potassium salt generated in situ from 1-morpholino-2-nitroethene.
Реферативные базы данных:
Тип публикации: Статья
Язык публикации: английский
Дополнительные материалы:
Supplementary_data_1.pdf (409.2 Kb)


Образец цитирования: E. K. Voinkov, E. N. Ulomsky, V. L. Rusinov, R. A. Drokin, V. V. Fedotov, E. B. Gorbunov, “1-Morpholino-2-nitroethylene as a precursor of nitroacetaldehyde in the synthesis of azolo[5,1-c][1,2,4]triazines”, Mendeleev Commun., 27:3 (2017), 285–286
Образцы ссылок на эту страницу:
  • https://www.mathnet.ru/rus/mendc1970
  • https://www.mathnet.ru/rus/mendc/v27/i3/p285
  • Эта публикация цитируется в следующих 14 статьяx:
    Citing articles in Google Scholar: Russian citations, English citations
    Related articles in Google Scholar: Russian articles, English articles
    Mendeleev Communications
    Статистика просмотров:
    Страница аннотации:159
    PDF полного текста:73
     
      Обратная связь:
     Пользовательское соглашение  Регистрация посетителей портала  Логотипы © Математический институт им. В. А. Стеклова РАН, 2026