Mendeleev Communications
RUS  ENG    ЖУРНАЛЫ   ПЕРСОНАЛИИ   ОРГАНИЗАЦИИ   КОНФЕРЕНЦИИ   СЕМИНАРЫ   ВИДЕОТЕКА   ПАКЕТ AMSBIB  
Общая информация
Последний выпуск
Скоро в журнале
Архив
Подписка
Правила для авторов

Поиск публикаций
Поиск ссылок

RSS
Последний выпуск
Текущие выпуски
Архивные выпуски
Что такое RSS



Mendeleev Commun.:
Год:
Том:
Выпуск:
Страница:
Найти






Персональный вход:
Логин:
Пароль:
Запомнить пароль
Войти
Забыли пароль?
Регистрация


Mendeleev Communications, 2014, том 24, выпуск 1, страницы 20–22
DOI: https://doi.org/10.1016/j.mencom.2013.12.006
(Mi mendc2459)
 

Эта публикация цитируется в 21 научных статьях (всего в 21 статьях)

Communications

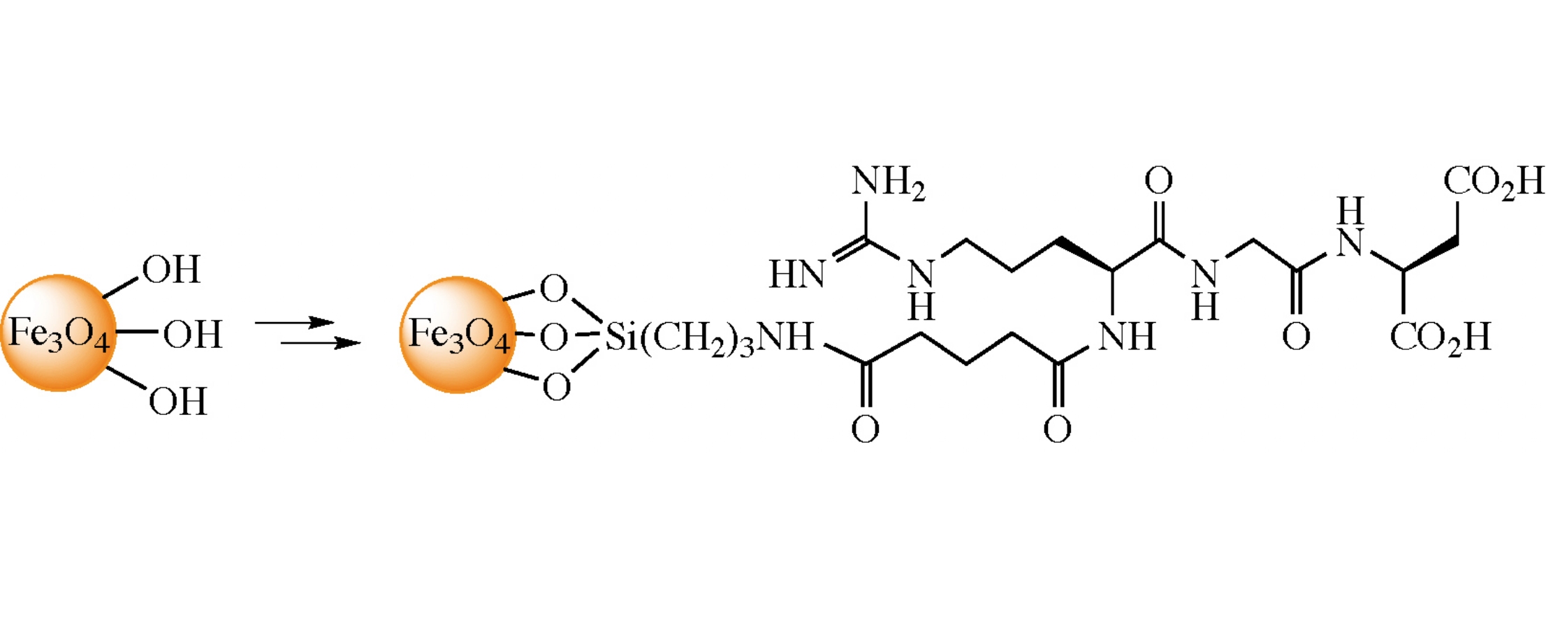
Functionalization of Fe3O4 magnetic nanoparticles with RGD peptide derivatives

A. M. Demina, A. Yu. Vigorova, I. A. Nizovaa, M. A. Uiminb, N. N. Shchegolevab, A. E. Ermakovb, V. P. Krasnova, V. N. Charushina

a I.Ya. Postovsky Institute of Organic Synthesis, Ural Branch of the Russian Academy of Sciences, Ekaterinburg, Russian Federation
b M.N. Mikheev Institute of Metal Physics, Ural Branch of the Russian Academy of Sciences, Ekaterinburg, Russian Federation
Аннотация: Derivatives of RGD peptide, such as N?-Pbf-l-Arg-Gly-l-Asp(OAlk)2 (Alk = Me or But), which contain glutaric acid moiety as a linker, were synthesized and immobilized to Fe3O4 magnetic nanoparticles obtained by gas condensation method.
Реферативные базы данных:
Тип публикации: Статья
Язык публикации: английский
Дополнительные материалы:
Supplementary_data_1.pdf (437.8 Kb)


Образец цитирования: A. M. Demin, A. Yu. Vigorov, I. A. Nizova, M. A. Uimin, N. N. Shchegoleva, A. E. Ermakov, V. P. Krasnov, V. N. Charushin, “Functionalization of Fe3O4 magnetic nanoparticles with RGD peptide derivatives”, Mendeleev Commun., 24:1 (2014), 20–22
Образцы ссылок на эту страницу:
  • https://www.mathnet.ru/rus/mendc2459
  • https://www.mathnet.ru/rus/mendc/v24/i1/p20
  • Эта публикация цитируется в следующих 21 статьяx:
    Citing articles in Google Scholar: Russian citations, English citations
    Related articles in Google Scholar: Russian articles, English articles
    Mendeleev Communications
    Статистика просмотров:
    Страница аннотации:165
    PDF полного текста:34
     
      Обратная связь:
     Пользовательское соглашение  Регистрация посетителей портала  Логотипы © Математический институт им. В. А. Стеклова РАН, 2026